Skip to content

ashhadulislam/augmentdatalib_reg_source

Folders and files

NameName
Last commit message
Last commit date

Latest commit

 

History

11 Commits
 
 
 
 
 
 
 
 
 
 
 
 
 
 

Repository files navigation

Python License Downloads CodeFactor

KNNOR-Reg: K-Nearest Neighbor OveRsampling method for Regression data

About

An oversampling technique for imbalanced regression datasets.

Installation

Use the below command to install:

pip install knnor-reg

Source

The folder knnor_reg contains the source code.

Usage

Convert your dataset to a numpy array. All values of the data must be numeric. The last column must be the target value.

Example implementation using artificial data:

import matplotlib.pyplot as plt
import numpy as np
from sklearn.datasets import make_regression
from knnor_reg import data_augment

# Generate regression data using make_regression
X, y = make_regression(n_samples=1000, n_features=10, noise=0.1)

# Print original data shapes
print("X=", X.shape, "y=", y.shape)
print("Original Regression Data shape:", X.shape, y.shape)

# Plot original data histogram
plt.hist(y, bins=20)
plt.title("Original Regression Data y values")
plt.show()
print("************************************")

# Initialize KNNOR_Reg
knnor_reg = data_augment.KNNOR_Reg()

# Perform data augmentation
X_new, y_new = knnor_reg.fit_resample(X, y, bins=20, target_freq=40)
y_new = y_new.reshape(-1, 1)

# Print augmented data shapes
print("After augmentation shape", X_new.shape, y_new.shape)
print("KNNOR Regression Data:")

# Plot augmented data histogram
plt.hist(y_new, bins=20)
plt.title("After KNNOR Regression Data y values")
plt.show()

# Print new data
new_data = np.append(X_new, y_new, axis=1)
print(new_data)
print("************************************")

Example implementation using a CSV file:

import matplotlib.pyplot as plt
import pandas as pd
import numpy as np
from knnor_reg import data_augment

knnor_reg = data_augment.KNNOR_Reg()

data = pd.read_csv("concrete.csv")
X = data.iloc[:, :-1].values
y = data.iloc[:, -1].values
print("X=", X.shape, "y=", y.shape)
print("Original Regression Data shape:", X.shape, y.shape)
plt.hist(y)
plt.title("Original Regression Data y values")
plt.show()
print("************************************")

X_new, y_new = knnor_reg.fit_resample(X, y, target_freq=40)
y_new = y_new.reshape(-1, 1)
print("After augmentation shape", X_new.shape, y_new.shape)
print("KNNOR Regression Data:")
plt.hist(y_new)
plt.title("After KNNOR Regression Data y values")
plt.show()
new_data = np.append(X_new, y_new, axis=1)
print(new_data)
print("************************************")

Examples

Go to the example folder to see a Jupyter notebook with the implementation.

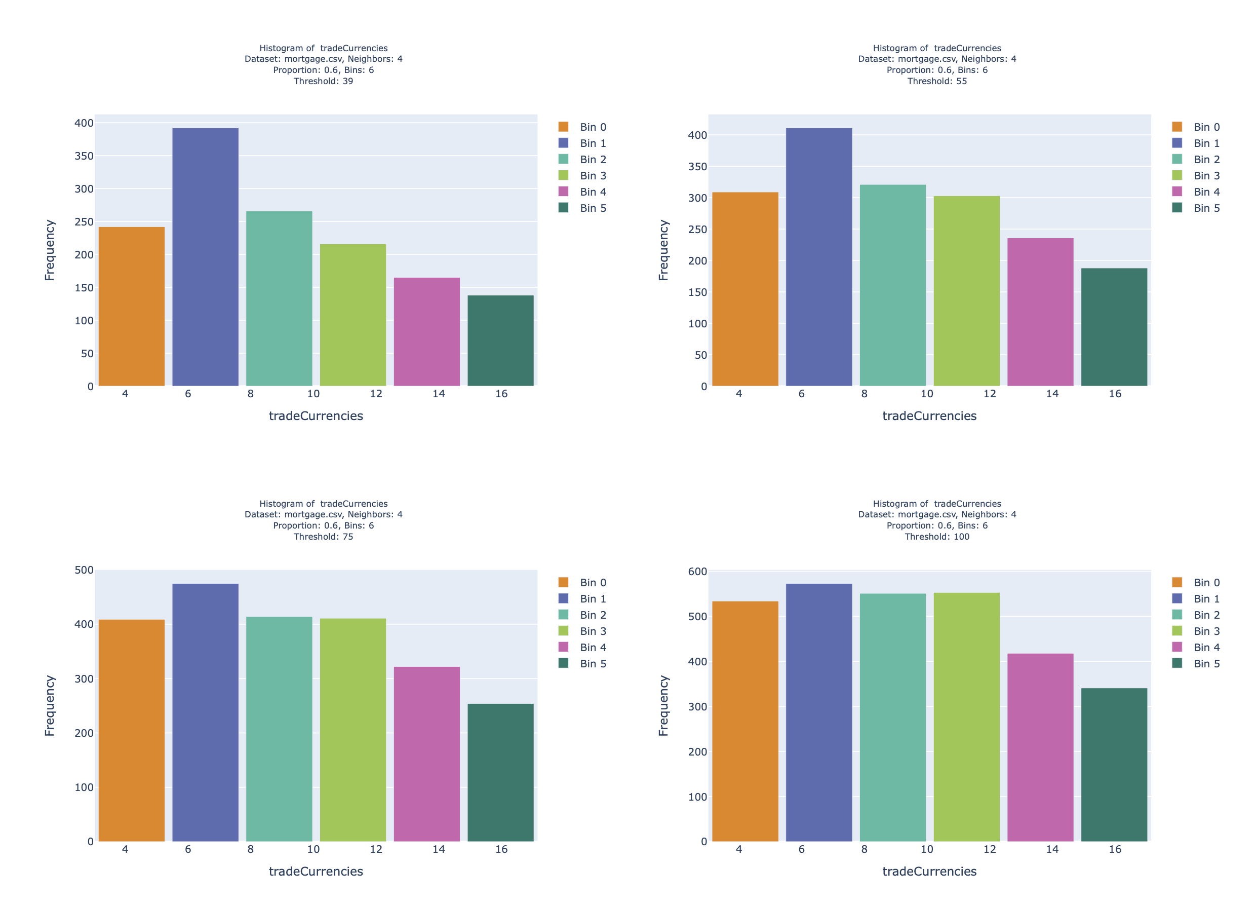
Effect of selecting different threshold

We show the effect of selecting different thresholds on our algorithm. We select the dataset "mortgage.csv" and demonstrate the results with various parameter values: number of neighbors (k) set to 4, proportion of minority points to be used set to 0.6, and the number of bins set to 6. The two figures illustrate the impact of different threshold values on the oversampling process.

Histogram of "tradeCurrencies" attribute with different thresholds

Histograms Histograms of the "tradeCurrencies" attribute with different threshold values (39, 55, 75, 100). Dataset: mortgage.csv, Neighbors: 4, Proportion: 0.6, Bins: 6.

Scatter plots of "1MonthCDRate" vs "1Y-CMaturityRate"

Scatter plots Scatter plots of "1MonthCDRate" vs "1Y-CMaturityRate" with different threshold values (39, 55, 75, 100). Dataset: mortgage.csv, Neighbors: 4, Proportion: 0.6, Bins: 6.

As observed in the figures above, as the threshold increases, the number of samples in the rarer range rises, aligning more closely with the majority range.

Read the Docs

The documentation of the library is present at: [Link to Read the Docs]

Citation

If you are using this library in your research please cite the following papers:

  1. Belhaouari, S. B., Islam, A., Kassoul, K., Al-Fuqaha, A., & Bouzerdoum, A. (2024). Oversampling techniques for imbalanced data in regression. Expert Systems with Applications, 252, 124118. https://doi.org/10.1016/j.eswa.2024.124118
  2. Belhaouari, S. B., Islam, A., Kassoul, K., Al-Fuqaha, A., & Bouzerdoum, A. (2025). KNNOR-Reg: A python package for oversampling in imbalanced regression. Software Impacts, 100740.
  3. Islam, A., Belhaouari, S. B., Rehman, A. U., & Bensmail, H. (2022). KNNOR: An oversampling technique for imbalanced datasets. Applied Soft Computing, 115, 108288. https://doi.org/10.1016/j.asoc.2021.108288.
  4. Islam, A., Belhaouari, S. B., Rehman, A. U., & Bensmail, H. (2022). K Nearest Neighbor OveRsampling approach: An open-source python package for data augmentation. Software Impacts, 12, 100272. https://doi.org/10.1016/j.simpa.2022.100272

Authors

About

Oversampling for regression data

Resources

License

Stars

Watchers

Forks

Releases

No releases published

Packages

No packages published

Contributors 2

  •  
  •